38+ Slope Tangent Line Calculator


Answered Ha H Tha The Angles That Are Marked The Bartleby


Tangent Line Calculator Mathcracker Com


Equation Of Tangent Line Calculator Tangent Line At Point


Tangent Line To A Level Curve Geogebra


Curved Line Slope Calculator With Steps Solution


38 In Words How To Write In English 38 Spelling


Secant Slope Calculator Geogebra


How To Find The Slope Of The Tangent Line In The Ti 84 Youtube


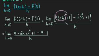
These Can Be Considered Average Slopes Or Average Rates Of Change Ppt Download


The Slope Of Tangent Lines To Polar Curves Youtube


Calc Iii Finding Equations Of Tangent Line To A Curve Youtube


Equation Of Tangent Line Calculator Tangent Line At Point


Precalculus How To Find Slope Of Tangent Line At A Point On Circle Youtube


Estimating Slope Of Tangent Line Youtube


2 1 Finding The Slope Of A Tangent Line Example 1 Channels For Pearson


Mathematical Methods For Physics And Engineering Matematica Net


Tangent Line Calculator Mathcracker Com


Finding The Equation Of A Tangent Line On A Calculator Youtube

Iklan Atas Artikel

Iklan Tengah Artikel 1

Iklan Tengah Artikel 2

Iklan Bawah Artikel